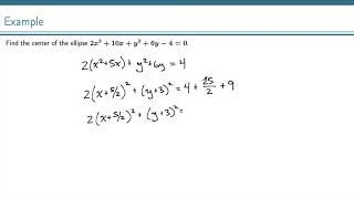
YouTube Excerpt: This algebra video

Net Worth Profile Overview

  1. Example Writing Equation Of Ellipse Net Worth 2026: Salary, Income & Wealth Net Worth & Biography
  2. Salary & Income Sources
  3. Career Highlights & Achievements
  4. Assets, Properties & Investments
  5. Net Worth Outlook & Future Earnings

Example Writing Equation Of Ellipse Net Worth 2026: Salary, Income & Wealth Net Worth & Biography

Writing Equations of Ellipses In Standard Form and Graphing Ellipses - Conic Sections Profile
How much is Example Writing Equation Of Ellipse Net Worth 2026: Salary, Income & Wealth worth? We've compiled comprehensive wealth data, income records, and financial insights for Example Writing Equation Of Ellipse Net Worth 2026: Salary, Income & Wealth. Discover the complete Net Worth breakdown, salary history, and asset portfolio.

Estimated Worth: $70M - $114M

Salary & Income Sources

Example Writing Equation of Ellipse in Standard Form and Identifying Key Features 2 Wealth
Explore the primary sources for Example Writing Equation Of Ellipse Net Worth 2026: Salary, Income & Wealth. From highlights to business ventures, find out how they built their profile over the years.

Career Highlights & Achievements

Finding the Equation of an Ellipse Class Examples Net Worth
Stay updated on Example Writing Equation Of Ellipse Net Worth 2026: Salary, Income & Wealth's newest achievements. Whether it's award-winning performances or notable efforts, we track the accomplishments that shaped their success.

Example Writing Equation of Ellipse in Standard Form and Identifying Key Features 1 Net Worth
Example Writing Equation of Ellipse in Standard Form and Identifying Key Features 1
Celebrity 9.3 Writing Equations of Ellipses Profile
9.3 Writing Equations of Ellipses
Write the equation of an ellipse given the foci and vertices Net Worth
Write the equation of an ellipse given the foci and vertices
Convert equation of Ellipse from general form to standard Net Worth
Convert equation of Ellipse from general form to standard
Famous Writing the Equation of an Ellipse Wealth
Writing the Equation of an Ellipse
The Best Explanation of the Equation of an Ellipse Net Worth
The Best Explanation of the Equation of an Ellipse
Celebrity Write the equation of an ellipse given the center, vertex and focus Net Worth
Write the equation of an ellipse given the center, vertex and focus
How to write the equation of an ellipse given the vertices and foci Wealth
How to write the equation of an ellipse given the vertices and foci
Celebrity Example Writing Equation of Ellipse in Standard Form and Identifying the Center Net Worth
Example Writing Equation of Ellipse in Standard Form and Identifying the Center

Assets, Properties & Investments

This section covers known assets, real estate holdings, luxury vehicles, and investment portfolios. Data is compiled from public records, financial disclosures, and verified media reports.

Last Updated: April 5, 2026

Net Worth Outlook & Future Earnings

Celebrity Ellipses Complete Guide (Graphing, Writing Equations, Eccentricity) Profile
For 2026, Example Writing Equation Of Ellipse Net Worth 2026: Salary, Income & Wealth remains one of the most searched-for celebrity profiles. Check back for the newest reports.

Disclaimer: Disclaimer: Net Worth estimates are based on publicly available data, media reports, and financial analysis. Actual numbers may vary.